“钙化+CTO+ISR” 病变的复通甄选
RELINE试验对比了VIABAHN支架与POBA治疗股浅动脉(SFA)支架内再狭窄(ISR)的结果,术后24个月VIABAHN组初期通畅率为58.4%,免于靶病变重建率为66.3%,显然优于POBA组,且无支架断裂的发生,可见VIABAHN为ISR提供了安全有效的解决方案。
VIABHAN支架作为美国FDA唯一获批可用于治疗ISR支架疗法,RELINEMAX试验作为第一个上市后研究,36个月结果证实了其在真实世界复杂ISR病例中的安全性和有效性。该研究中支架内再狭窄(SR)例52%为长段弥漫性病变,29%为完全闭塞,33%为中度/重度钙化。安全性方面,24个月结果显示97%患者免于急性下肢缺血,未发生严重截肢或VIABAHN支架折断;有效性方面,3年免于靶病变血运重建率(fTLR)为65%,80%患者Rutherford分级改善≥1级。
![]()
Darren Schneider医学博士
对3年数据的目标、结果和主要影响的讨论
↑点击播放视频↑
研究背景及目的
由于血管床和病变形成的复杂性相关质量证据有限,股浅动脉(SFA)支架内再狭窄(ISR)的治疗往往具有挑战性,需要持久的治疗方案造福这类患者群体并减少进一步的干预。强有力的证据支持PTA不是这些病变的有效治疗方法。
VIABAHN支架为该病变提供了新的解决方案,VIABAHN支架的ePTEE膜内表面经肝素处理,已被证明可以降低血小板活化,减少血栓形成,并减少内膜增生,各项研究取得了与人工血管旁路手术相当的远期通畅率,腔内搭桥观点应运而生。本研究是为了评估VIABHAN支架治疗股浅动脉(SFA)支架内再狭窄(ISR)的安全性和有效性。
研究方法
这是一项前瞻性、单臂、国际研究,于2015 年10月至2018 年4月在23个研究机构招募患者。SFA中ISR或闭塞≥50%、Rutherford 2-5级、至少有1条通畅的流出道的患者符合条件。
主要有效性终点是12个月时的主要通畅率。主要安全性终点是30天内与器械或手术相关的严重不良事件(SAE)发生率。
研究结论
共登记了 108 名患者,其中 86 名患者接受了为期 3 年的分析(平均年龄为 70.0±10.4 岁;48.8% 为女性)核心实验室报告的病变平均长度为12.4±6.92厘米(29.1%闭塞);10.5%出现慢性肢体缺血,81.9%的病变为Tosaka Ⅱ或Ⅲ型。手术技术成功率为 98.8%。30天内,96.5%的患者未发生与器械或手术相关的SAE。

(患者的人口统计学特征和临床特征)

(治疗特点)
在1年、2年和3年的时间点,初次通畅率分别为74.7%、55.9%和44.7%,初次辅助通畅率分别为80.4%、64.6%和56.4%,二次通畅率分别为98.4%、89.4%和82.3%。1年、2年和3年时,免于靶病变血运重建率分别为84.8%、74.6%和65.0%,其中9例患者在36个月内转为旁路手术。根据核心实验室的评估,3 年内未发生重大截肢或器械故障。

12、24、36个月初次通畅率、初次辅助通畅率和二次通畅率Kaplan–Meier分析

36个月免于靶病变血运重建率Kaplan–Meier分析

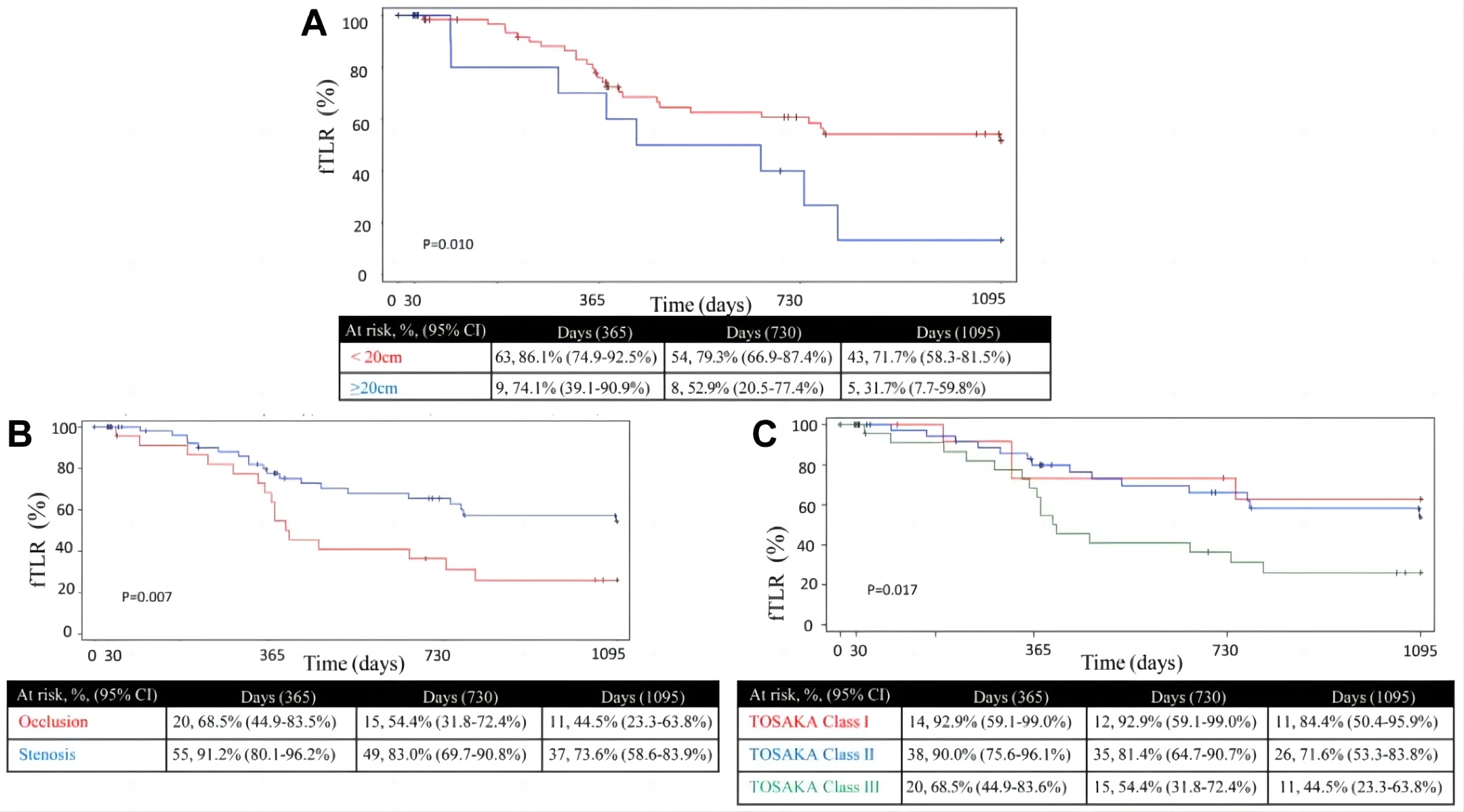
按解剖特征分层的免于靶病变血运重建率Kaplan–Meier分析(A)病变长度;(B)疾病严重程度;(C) Tosaka分类
在30天、12、24和36个月的随访中,ABI评分较基线(0.68±.178)的平均分数改善0.329、0.238、0.212和0.243(P<.001)30天时92.7%的患者Rutherford分级改善≥1级,12个月时87.7%患者Rutherford分级改善≥1级,24个月时86.0%患者Rutherford分级改善≥1级,36个月时80.4%患者Rutherford分级改善≥1级。

Rutherford分级分布情况

支架内再狭窄研究的比较
VIABAHN支架治疗长段复杂的ISR病变是有效的。无论钙化程度、流出道数量或性别,36个月的初次通畅率结果是相似的,36个月内未发生支架移位折断和重大截肢事件。